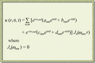
An idealized equation governing the propagation of waves. This equation is linear and homogeneous. (Image courtesy of Prof. Hung Cheng.)
Instructor(s)
Prof. Hung Cheng
MIT Course Number
18.305
As Taught In
Fall 2004
Level
Graduate
Course Description
Course Features
Course Description
Advanced Analytic Methods in Science and Engineering is a comprehensive treatment of the advanced methods of applied mathematics. It was designed to strengthen the mathematical abilities of graduate students and train them to think on their own.
